Investing Channel and
Investing Capacity
¡ª¡ªExtension of Shannon's
Channel Capacity
(Selected from Lu's monograph: Entropy Theory of portfolio and Information Value)
First let us have a look at channel capacity in classical information theory.
For given channel P(Y|X)£¬mutual information I(X£»Y) is different as source H(X) is changed£¬The channel capacity is defined as£ºfor given channel P(Y|X)£¬by changing source P(X) -> P*(X) so that mutual information I(X£»Y) reaches the maximum. This maximum is channel capacity¡£Assume PC is a set of all possible sources. Then capacity C is
(9.4.1)
The channel capacity tells us that we cannot transmit more information than capacity when by limitted channel. In calassical information theory, there is detailed mothed for calculating channel capacity. In the following, we simply introduce Gauss's capacity for noise-splicing channel with normal distribution.
Assume X¡ÊA£½B£½(- ¡Þ£¬+¡Þ), splicing noise Z is Gauss's variable with average 0 and variance(or power) s 2, and input is X and output is Y£½X+Z. We can deduce channel capacity
(9.4.2)
(9.4.3)
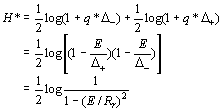
For example, in typical gambling, forecasted return is
Fr ={0.5|r1£¬0.5|r2}={0.5|D -£¬0.5| D +)
={0.5|E- Rr£¬0.5|E+Rr}
which means loss r1=E-Rr and gain r2=E+Rr have equal probability ( where r1<0<r2£¬E is expectation£¬Rr is new risk measure ). The optimizing ratio is
(9.4.4)

![]()
![]()
¡¡